Données : 2023

PDF

L’offre de soins en AMP

Les centres

L’offre de soins en AMP est répartie sur le territoire national hormis pour trois régions : La Corse, la Guyane et Mayotte sont les seules régions françaises (hors TOM) dépourvues de centre clinico-biologique d’AMP et également de laboratoire d’insémination en ce qui concerne la Guyane et Mayotte.


En 2023, en tenant compte des centres d’AMP ayant adressé[1] un rapport annuel d’activité à l’Agence de la biomédecine :


  • 173 laboratoires ont assuré les préparations de spermatozoïdes en vue d’insémination intra-utérine. Cela concerne à la fois les laboratoires des centres clinico-biologiques et les laboratoires de biologie médicale qui pratiquent uniquement les préparations de spermatozoïdes en vue d’insémination intra-utérine (figure AMP14, tableau AMP7) ;

  • 105 centres clinico-biologiques ont assuré les activités de fécondation in vitro (figure AMP15, tableau AMP7) ;

  • 1 centre clinico-biologique a eu pour seule activité le recueil, la conservation et la mise à disposition de gamètes en vue de don sans réaliser de fécondation in vitro[2].


Les activités de recueil, conservation et mise à disposition des gamètes et embryons en vue de don, ainsi que les activités d’autoconservation médicale et non médicale nécessitent des autorisations spécifiques délivrées par les agences régionales de santé. Ces autorisations sont réservées aux établissements à but non lucratif, exception faite pour l’activité d’autoconservation non médicale accessible par dérogation au sein de départements ne proposant pas cette offre (Don de spermatozoïdes ; Don d'ovocytes ; Accueil d'embryons ; Autoconservation médicale des gamètes, embryons et tissus germinaux).


En 2023 :


  • 36 centres clinico-biologiques ont assuré les activités de don d’ovocytes, 30 centres les activités de don de spermatozoïdes, et 20, la mise en œuvre de l’accueil d’embryons. Parmi ces centres, 20 détiennent les 3 autorisations.

  • 58 centres ont conservé des gamètes dans un cadre médical en vue d’un projet d’enfant ultérieur, 42 dans un cadre non médical.


[1] Matériel et méthodes

[2] Le centre d’AMP IFREARES

Figure AMP14. L'offre de soins en insémination intra-utérine en 2023

Figure AMP15. L'offre de soins en fécondation in vitro en 2023

Volume d'activité selon la technique

Les figures AMP16 et AMP17 montrent la répartition des centres selon leur volume annuel d’activité. Ces éléments peuvent être utiles à la réflexion sur l’offre de soins au niveau de chaque région en termes de capacité techniques des équipes. Néanmoins, ces données ne peuvent préjuger de la qualité de la prise en charge.


En 2023, 173 laboratoires ont pratiqué la préparation de spermatozoïdes en vue d’une insémination (laboratoires de biologie médicale et laboratoires des centres clinico-biologiques d’AMP). Ces laboratoires ont eu une activité annuelle médiane de 172 inséminations. Toutefois, les volumes d’activités et les chances de succès de l’AMP varient selon les établissements et les bassins de population :


  • 2 à 2 398 inséminations intra-utérines ont été réalisées par laboratoire au cours de l’année ;

  • 26 % de l’activité est réalisée par des laboratoires de biologie médicale non rattaché à un centre clinico-biologique ;

  • Près de 17 % des laboratoires ont réalisé moins de 50 cycles d’insémination. La majorité des laboratoires concernés (76%) sont des laboratoires de biologie médicale dont l’AMP est une part minime de leur activité.


Par ailleurs, les 105 centres clinico-biologiques pratiquant la fécondation in vitro, ont eu une activité annuelle médiane de 471 ponctions en vue d’une fécondation in vitro. Parmi eux, 5 centres clinico-biologiques ont réalisé moins de 150 fécondations in vitro.

Figure AMP16. Répartition des laboratoires selon le nombre d'inséminations intra-utérines réalisé en 2023

Télécharger le fichier

Figure AMP17. Répartition des centres clinico-biologiques selon le nombre de ponctions* réalisé en 2023

Télécharger le fichier

Répartition régionale des activités

Dans les figures AMP18 et AMP19, l’activité d’AMP est rapportée à la population des femmes en âge de procréer (femmes âgées de 18 à 45 ans) pour chaque région. On constate des disparités régionales qui vont de 0,6 (Martinique) à 5,0 (Pays de la Loire, Grand Est) inséminations pour 1 000 femmes en âge de procréer et de 3,4 (Bourgogne Franche Comté, Martinique) à 7,2 (Ile-de-France) pour les ponctions en vue de fécondations in vitro par millier de femmes en âge de procréer (tableau AMP7). Au niveau national, 4,1 inséminations intra-utérines (3,4 en 2022, 4,1 en 2019) et 5,3 ponctions (5,2 en 2022, 5,5 en 2019) ont été réalisées pour 1 000 femmes de 18 à 45 ans au cours de l’année 2023. Il importe que dans chaque région ce niveau d’activité soit au moins à hauteur du niveau national pour couvrir les besoins : par comparaison de l’activité régionale et nationale, l’offre d’AMP proposée dans les régions des Antilles est la moins développée.


Ces données reflètent l’activité des centres dans les régions, mais ne tiennent pas compte des flux des patients dont les lieux de résidence peuvent être éloignés des centres, ou des chances de succès de l’AMP de chaque établissement.


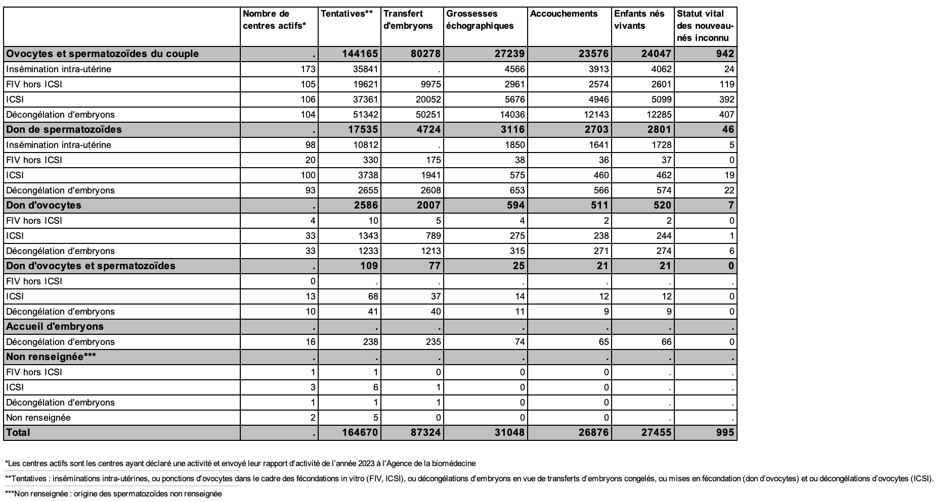
Comme le montre la figure AMP20, la part des ponctions en vue de fécondation in vitro (en intraconjugal ou avec spermatozoïdes de donneur) réalisées en ICSI varie au niveau régional de 51 % (Guadeloupe, Pays de La Loire) à 79 % (La Réunion) selon les régions. Cette part est supérieure à 70 % dans trois régions (Auvergne-Rhône-Alpes, Bourgogne Franche -Comté, La Réunion). La pratique de l’ICSI dépend de la fréquence des indications masculines dans la population traitée, du recours aux dons de gamètes ou à la pratique de techniques particulières telles la vitrification ovocytaire, le risque viral mais également des pratiques propres aux centres liées aux indications (infertilité idiopathique prolongée, faible cohorte ovocytaire…) ; l’ICSI est pratiquée dans 91 % des tentatives réalisées à partir de spermatozoïdes de donneurs et 99 % des tentatives de fécondation in vitro réalisées à partir d’ovocytes de donneuses (tableau AMP1).

Figure AMP18. Activité d'insémination intra-utérine 2023

Télécharger le fichier

Figure AMP19. Activité de fécondation in vitro 2023

Télécharger le fichier

Figure AMP20. La pratique de l'ICSI en 2023

Télécharger le fichier

Tableau AMP7. Activité régionale

Télécharger le fichier