Données : 2024

PDF

Greffe rénale

Tendances de l’année

Depuis 1959, année de la première greffe rénale en France, un total de 108 264 greffes rénales a été enregistré. Le nombre estimé de malades porteurs d’un greffon rénal fonctionnel est de 43 532 au 31 décembre 2024 soit une prévalence de 642 par million d’habitants (pmh).


L’année 2024 est marquée par une progression du nombre de greffes rénales (+6,6% par rapport à 2023) qui dépasse enfin l’activité d’avant la crise sanitaire (+3,1% par rapport à 2019) et atteint 3 757 greffes rénales (55,4 pmh) (Tableau R1). Les greffes rénales sont issues pour :


  • 15,9% de donneurs vivants soit 598 greffes (8,8 pmh) (+ 7,4% par rapport à 2023 soit + 41 greffes en 2024). Depuis 1959, le nombre des 10 000 greffes rénales à partir de donneurs vivants a été dépassé courant l’année 2024 !

  • 69,7% de donneurs décédés en état de mort encéphalique soit 2 620 greffes (+ 4,9% par rapport à 2023 soit + 122 greffes en 2024),

  • 14,3% de donneurs décédés après arrêt circulatoire de la catégorie II ou III de Maastricht soit 539 greffes (+14,7% par rapport à 2023 soit + 69 greffes)


En 2024, 168 greffes combinées à une greffe rénale ont été réalisées dont 50,0% sont des greffes de rein-pancréas et 39,3% des greffes de rein-foie. Pour la 1ière fois, 4 injections d’îlots de Langerhans ont été combinées à des greffes rénales (Tableau R32).


Pour la 1ière fois, 2 triplets (triplet = 3 paires engagées) ont été réalisées en don croisé soit 6 greffes compatibles issues de donneurs vivants incompatibles avec leur proche en don direct (Tableau R44).


L’année 2024 est marquée par une moindre inscription de nouveaux malades (-5,1%) par rapport à 2023 mais la pénurie perdure et l’on observe une progression du nombre de malades en liste d’attente pour atteindre 10 883 malades en liste d’attente active au 1ier janvier 2025 (+3,6%). Les décès ou sortis de liste pour aggravation sont en recul (-8,1%) par rapport à 2023.


Le taux d’incidence cumulée de greffe rénale après une inscription active sur la liste nationale d’attente avec prise en compte des risques concurrents s’abaisse pour atteindre 42% à 2 ans pour la période d’inscription 2021-2023 (Figure R1). Les taux d’incidence cumulée de greffe rénale varient selon l’âge (les malades âgés de 66 à 75 ans ont les taux les plus bas), le groupe sanguin et le degré d’immunisation anti-HLA (défini par le taux de greffons incompatibles – TGI) (Tableau R12) et l’équipe de greffe (Tableau R14).


Progressivement le taux d’inscription d’emblée en liste active diminue (21% des nouveaux inscrits pour la première fois en 2023 contre 28% en 2018) et la période d’inactivité se prolonge plus souvent au-delà de 6 mois (43% des nouveaux inscrits pour la première fois en 2023 contre 34% en 2018) avec pour motif dans 88% des cas le bilan pré-greffe en cours (Tableaux R9 et R10).


Au 1ier janvier 2024, 45,2% des malades en liste d’attente active n’ont pas débuté la dialyse (contre 41% en 2020) en lien avec une augmentation progressive des inscriptions préemptives (45,7% en 2024 contre 41,6% en 2020) (Tableaux R4 et R7). Au 1ier janvier 2024, 17,2% des malades en liste d’attente active sont hyperimmunisés (85-100% de TGI) (contre 18,9% au 1ier janvier 2023), soit une baisse progressive depuis 2015 en lien avec la standardisation nationale du calcul du TGI, l’efficacité du programme antigène permis et plus récemment de nouvelles pratiques thérapeutiques (Tableau R4).


La proportion des greffes réalisées de manière préemptive (hors retransplantation) est relativement stable (14,6%) depuis 2019 et représente respectivement 10,7% et 36,2% des greffes issues de donneurs décédés en mort encéphalique et des donneurs vivants en 2024 (Tableau R21). Pour les malades dialysés ayant reçu une greffe rénale (hors retransplantation) en 2024, la médiane de durée de dialyse s’élève à 36,9 mois contre 30,9 mois avant la crise sanitaire (2019).


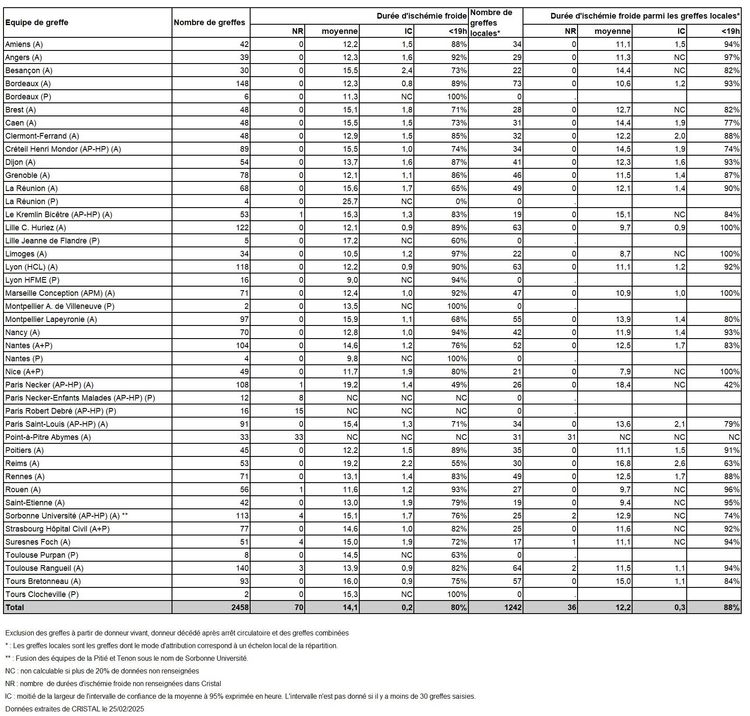
Parmi les greffes avec donneurs en mort encéphalique, la proportion de celles dont le donneur est à critères élargis dépasse 50% depuis 2018 (53% en 2024). La mise sous machine à perfusion permet de réduire la non fonction primaire et la reprise retardée de la fonction rénale de ces greffons. En lien avec le plan greffe 2022-26 d’aide au financement de ces machines, le taux de mise sous machine à perfusion de ces greffons à critères élargis progresse pour atteindre 94,6% en 2024 (88,5% en 2021) (Tableau R27). La diminution de la durée moyenne de l’ischémie froide se poursuit en 2024 à 14,1 heures et 12,2 heures si on restreint aux greffes locales (contre 15,1 et 13,2 heures respectivement en 2021) (Tableau R24). La durée moyenne d’ischémie froide pour les greffes issues des donneurs décédés après arrêt circulatoire de la catégorie III de Maastricht est stable à 10,0 heures en 2024 (Tableau R25)


Depuis 1959, un total 10 480 greffes rénales issues de donneurs vivants a été enregistré dans le registre national Cristal. Le plan greffe 2022-2026 prévoit le développement du prélèvement multi-sources et implique un renforcement du don du vivant. Une politique volontariste est conduite pour accompagner les professionnels et proposer avec l’appui des instances locales, des plans d’actions visant à soutenir ou dynamiser cette activité. Si l’activité de greffes à partir de donneurs vivants en 2024 dépasse celle d’avant la crise sanitaire, celle-ci reste inférieure à 2017. La progression de cette activité en 2024 (+7,4% par rapport à 2023) est hétérogène selon les équipes. La progression bénéficie à la fois aux receveurs adultes et pédiatriques, avec 30 greffes en pédiatrie soit 28,8% de l’activité pédiatrique, ce qui n’avait pas été atteint depuis 2014 (Tableaux R19 et R35). Seules 7 équipes sur 33 équipes de greffe rénale adulte ont atteint ou dépassé l’objectif d’activité fixé à 20% de greffes issues de donneur vivant.


La moyenne d’âge des donneurs vivants s’élève à 53,6 ans en 2024 ; les donneurs de plus de 61 ans sont en progression et représentent 31% des donneurs vivants en 2024 (contre 21% en 2017) (Tableau R33). La première source de donneurs vivants est représentée depuis 4 ans par les conjoints (30,4%) mais la progression en 2024 touche essentiellement la fratrie (27,6%), suivie par les parents (22,6%) (Tableau R36).


Malgré un nombre de paires inscrites dans le programme de don croisé qui reste faible (25 paires au 31/12/2024), 6 greffes de donneurs vivants compatibles ont été réalisées en 2024 via ce programme, avec pour la 1ière fois des échanges impliquant 3 paires.


Le suivi des donneurs vivants est obligatoire depuis la Loi de bioéthique de 2004 et 8443 donneurs ont été enregistrés dans le registre national de suivi. La qualité du suivi est insuffisante en termes de taux de remplissage des débits de filtration glomérulaire estimés après don (Tableau R42). Une collaboration Agence de biomédecine/Haute Autorité de Santé est en cours pour améliorer la qualité de suivi et du recueil du suivi après don de rein Suivi des donneurs vivants après don de rein.


Le programme de greffes à partir de donneurs décédés après arrêt circulatoire de la catégorie III de Maastricht, débuté en 2015, montre de très bons résultats de reprise immédiate de fonction (85,0%) (Tableau R48) et de survie des greffons à 1 an (94,1%) mais les résultats de survie diminuent à 5 ans (Figure R6) ; cette baisse est liée en partie à un âge des receveurs plus élevé lors des premières années du programme. Cette activité s’étend progressivement sur l’ensemble du territoire avec 58 centres hospitaliers autorisés dont 30 Centres Hospitaliers Universitaires, au 31/12/2024.


La survie globale des greffons estimée par la méthode de Kaplan-Meier est de 56,9% à 10 ans pour la période de greffe [2007-2023] (Figure R3). Celle-ci s’élève à 74,9% en cas de donneur vivant contre 54,4% en cas de donneur décédé (Figure R5).


La survie des greffons varie significativement selon l’âge du donneur (Figures R4a, R4b), l’âge du receveur (Figures R8a, R8b), le rang de la greffe (Figure R7), l’immunisation anti-HLA du receveur (Figure R9), et surtout la présence d’anticorps dirigés contre le HLA du donneur (Figure R12) et enfin l’appariement HLA entre le donneur et le receveur (Figures R10, R11).


L’analyse régionale montre une activité d’inscription très élevée à La Réunion (129,0 pmh), Martinique (122,4 pmh) et Ile-de-France (115,0 pmh) (86,0 pmh au niveau national), avec un taux d’incidence cumulé d’inscription à 24 mois parmi les nouveaux dialysés de moins de 60 ans le plus élevé en Ile-de-France 78% et les plus faibles à Guyane (22%), La Réunion (31%) et Martinique (35%) (64% au national). L’activité de greffe est la plus élevée à la Réunion (101,6 pmh) et la plus faible en Guyane (26,1 pmh) (55,4 pmh au national). L’activité de greffe à partir de donneur en arrêt circulatoire de la catégorie III de Maastricht est la plus élevée en Provence-Alpes-Côte-d’Azur. L’activité de greffe à partir de donneur vivant est la plus élevée en Guyane (13,0 pmh). Le taux d’incidence cumulé de greffe à 24 mois parmi les nouveaux dialysés de moins de 60 ans est le plus élevé dans les Pays de la Loire (36%) (25% au national).


Devenir des candidats en liste d’attente

Liste d’attente

Tableau R1. Evolution de la liste d'attente et devenir des candidats en greffe rénale

Télécharger le fichier

Tableau R2. Evolution des principaux indicateurs de pénurie de greffe rénale

Télécharger le fichier

Tableau R3. Caractéristiques démographiques des donneurs de rein et des malades inscrits selon leur devenir en liste d'attente de greffe rénale en 2024

Télécharger le fichier

Tableau R4. Caractéristiques démographiques des malades inscrits selon leur devenir en liste d'attente de greffe rénale en 2024

Télécharger le fichier

Tableau R5. Evolution du nombre de nouveaux inscrits en attente d'une greffe rénale selon la néphropathie d'origine

Télécharger le fichier

Tableau R6. Comorbidités parmi les nouveaux malades inscrits en greffe rénale selon leur âge à l'inscription (2019-2024)

Télécharger le fichier

Tableau R7. Evolution du nombre de nouveaux inscrits en attente d'une greffe rénale selon la dialyse et le rang de la greffe

Télécharger le fichier

Cinétique de la liste d’attente

Tableau R8. Evolution sur les trois premières années du devenir des malades inscrits pour la première fois en greffe rénale en 2021 (N= 4110)

Télécharger le fichier

Tableau R9. Evolution du nombre des nouveaux inscrits selon le délai d’attente inactive depuis l’inscription

Télécharger le fichier

Tableau R10. Evolution des motifs d’inactivité sur liste à l’inscription chez les nouveaux inscrits

Télécharger le fichier

Tableau R11. Evolution sur les trois premières années du devenir des malades dont la première inscription active* sur la liste d’attente de greffe rénale est en 2021 (N= 3893)

Télécharger le fichier

Figure R1. Taux d'incidence cumulée de greffe et de décès ou aggravation sur la liste d'attente de greffe rénale à partir de la date d’inscription active* selon la période

Télécharger le fichier

Tableau R12. Incidence cumulée des greffes avec prise en compte du risque concurrent de décès en attente ou sorties pour aggravation selon les caractéristiques des malades

inscrits entre 2020 et 2023 sur la liste d'attente d'une greffe rénale à partir la date de l'inscription active*
Télécharger le fichier

Tableau R13. Evolution de l'Incidence cumulée des greffes avec prise en compte du risque concurrent de décès en attente ou sorties pour aggravation selon les caractéristiques des malades

inscrits sur la liste d'attente d'une greffe rénale à partir de la date d'inscription active*
Télécharger le fichier

Tableau R14. Taux d'incidence cumulée de greffe selon l'équipe de greffe des malades inscrits entre 2020 et 2023 sur la liste d'attente d'une greffe rénale à partir de la date d'inscription active*

Télécharger le fichier

Prélèvement des donneurs décédés en vue de greffe rénale

Tableau R15. Evolution de l’activité de prélèvement de greffon rénal en France depuis 1997

Télécharger le fichier

Tableau R16. Age des greffons prélevés sur donneurs décédés et greffés en France en 2024 selon l'âge du receveur

Télécharger le fichier

Tableau R17. Caractéristiques des donneurs prélevés en France dont au moins un rein a été greffé en 2024

Télécharger le fichier

Activité de greffe rénale

Tableau R18. Evolution de l'activité de greffe rénale depuis 1987 selon le type de donneur

Télécharger le fichier

Tableau R19. Caractéristiques des receveurs greffés en 2024 selon le type de donneur

Télécharger le fichier

Tableau R20. Evolution du nombre de greffes rénales selon la néphropathie d'origine

Télécharger le fichier

Tableau R21. Evolution du nombre de greffes rénales préemptives

Télécharger le fichier

Tableau R22. Caractéristiques des greffes en 2024 selon la compatibilité HLA en super-type

Télécharger le fichier

Tableau R23. Nombre de greffes rénales effectuées par équipe en 2024

Télécharger le fichier

Tableau R24. Evolution des durées moyennes d’ischémie froide en heure

Télécharger le fichier

Tableau R25. Evolution des durées moyennes d’ischémie froide en heure pour les greffes rénales à partir des donneurs décédés après arrêt circulatoire

Télécharger le fichier

Tableau R26. Durée moyenne d’ischémie froide en heure pour l’année 2024 par équipe de greffe

Télécharger le fichier

Tableau R27. Evolution depuis 2018 du nombre de greffes selon que le rein a été mis sous machine à perfusion ou non et selon le type de donneur décédé

Télécharger le fichier

Tableau R28. Nombre de greffes par équipe selon que le rein a été mis sous machine à perfusion (donneur décédé en mort encéphalique à critères élargis - 2024)

Télécharger le fichier

Tableau R29. Modalités d’attribution pour les greffes rénales réalisées en 2024 à partir de donneurs décédés en état de mort encéphalique

Télécharger le fichier

Tableau R30. Evolution des modalités d’attribution pour les greffes rénales réalisées à partir de donneurs décédés en état de mort encéphalique

Télécharger le fichier

Tableau R31. Caractéristiques des inscrits ayant eu au moins une fois depuis leur inscription un taux de greffon incompatible à 85% ou plus, par année d'inscription

Télécharger le fichier

Tableau R32. Evolution du nombre de greffes combinées à une greffe rénale

Télécharger le fichier

Donneur vivant

Prélèvement à partir de donneur vivant

Tableau R33. Evolution de l'activité de prélèvement sur donneur vivant

Télécharger le fichier

Tableau R34. Evolution du nombre de chirurgies par type

Télécharger le fichier

Greffe rénale à partir de donneur vivant

Tableau R35. Évolution de l'activité de greffe rénale selon le type de donneur

Télécharger le fichier

Tableau R36. Evolution depuis 2015 du nombre de greffes rénales avec donneurs vivants selon la relation entre le donneur et le receveur

Télécharger le fichier

Tableau R37. Evolution de l'âge des donneurs et des receveurs depuis 2015 (donneurs de résidus opératoires et dominos exclus)

Télécharger le fichier

Tableau R38a. Evolution du nombre de greffes de rein à partir de donneur vivant ABO incompatibles entre 2015 et 2024

Télécharger le fichier

Tableau R38b. Caractéristiques des greffes selon la compatibilité HLA en super-type

Télécharger le fichier

Tableau R39. Fréquence des douleurs post-opératoires après le prélèvement chez les donneurs vivants de rein selon l'âge et le type d'intervention entre 2004 et 2023

Télécharger le fichier

Tableau R40. Evolution de la fréquence des complications péri-opératoires chez les donneurs vivants de rein entre 2004 et 2023

Télécharger le fichier

Tableau R41.Taux de suivi des donneurs vivants par équipe de greffe

Télécharger le fichier

Tableau R42. DFG des donneurs vivants de rein selon le temps de suivi (débit de filtration glomérulaire estimé par la formule CKD-EPI) prélevés entre le 1er mai 2004 et le 31 décembre 2024

Télécharger le fichier

Tableau R43. Evolution du taux de remplissage des DFG à 1 an pour les donneurs vivants de rein prélevés entre le 1er mai 2004 et le 31 décembre 2023

Télécharger le fichier

Dons croisés

Tableau R44. Evolution des inscriptions et greffes en don croisé au 31 Décembre 2024

Télécharger le fichier

Tableau R45. Caractéristiques des donneurs et des receveurs des paires inscrites en don croisé entre le 01/01/2013 et le 31/12/2024

Télécharger le fichier

Tableau R46. Nombre de paires inscrites en don croisé selon la relation entre le donneur et le receveur depuis le début du programme en 2013

Télécharger le fichier

Survie post greffe

Tableau R47. Analyse de la non fonction primaire du greffon après une primo greffe de rein seul chez l'adulte selon le type de donneur ( 2020-2023)

Télécharger le fichier

Tableau R48. Analyse du retard de fonction après une primo greffe de rein seul chez l'adulte selon le type de donneur ( 2020-2023)

Télécharger le fichier

Tableau R49. Analyse du débit de filtration estimé à 1 an selon le type de donneur pour les primo greffes de rein seul chez l'adulte entre 2019 et 2022 (exclusion des arrêts de fonction et décès après greffe avant 1 an)

Télécharger le fichier

Tableau R50. Analyse du débit de filtration estimé à 5 ans selon le type de donneur pour les primo greffes de rein seul chez l'adulte entre 2016 et 2019

Télécharger le fichier

Tableau R51 Répartition des malades déclarés vivants avec un greffon fonctionnel dans les différentes équipes de greffe rénale

en fonction du délai écoulé depuis les dernières nouvelles : état de la base au 31 décembre 2024 des malades ayant eu une greffe rénale entre 2004 et 2023
Télécharger le fichier

Tableau R52. Estimation du nombre de malades porteurs d’un greffon rénal fonctionnel au 31 décembre 2024, par équipe de suivi

Télécharger le fichier

Tableau R52. Estimation du nombre de malades porteurs d’un greffon rénal fonctionnel au 31 décembre 2024, par équipe de suivi


Malgré l’amélioration de l’exhaustivité des données de suivi des malades greffés rénaux, il n’est pas possible d’obtenir le nombre de malades porteurs d’un greffon fonctionnel par simple interrogation de Cristal. En effet, au 31 décembre 2024, 22% des malades greffés rénaux entre 2004 et 2023 ont un suivi datant de plus d’un an. Ainsi, l’estimation de ce nombre a été effectuée en deux étapes basées sur l’ancienneté des données de suivi du malade. Dans un premier temps, nous avons dénombré les porteurs d’un greffon fonctionnel dans Cristal (malades déclarés vivants sans arrêt de fonction du greffon) dont les dernières nouvelles dataient de moins de 18 mois (suivi annuel obligatoire dans Cristal). Pour les malades qui n’avaient pas fait l’objet d’une déclaration de décès ou d’arrêt de fonction du greffon et dont les données de suivi dataient de plus de 18 mois, le nombre de porteurs d’un greffon fonctionnel a été estimé en leur appliquant les taux de survie du greffon estimés sur la population globale.


Le nombre total de porteurs d’un greffon fonctionnel correspond à la somme de ces deux valeurs. Le chiffre ainsi estimé est encadré par deux bornes :


  • la borne inférieure correspond à l’hypothèse la plus pessimiste, selon laquelle les malades non suivis sont considérés comme en arrêt fonctionnel de greffon ou décédés. Cela signifie que seuls les greffés qui n’avaient pas fait l’objet d’une déclaration de décès ou d’arrêt de fonction du greffon au 31 décembre de l’année et dont les données de suivi dataient de moins de 18 mois étaient porteurs d’un greffon fonctionnel à cette date ;

  • la borne supérieure correspond à l’hypothèse la plus optimiste, selon laquelle les malades non suivis sont considérés comme porteurs d’un greffon fonctionnel. En d’autres termes, tous les greffés qui n’avaient pas fait l’objet d’une déclaration de décès ou d’arrêt de fonction du greffon au 31 décembre de l’année, quelle que soit l’ancienneté des données de suivi, étaient vivants et porteurs d’un greffon fonctionnel à cette date.


Le nombre de malades porteurs d’un greffon fonctionnel est un indicateur important de la charge de travail des équipes médico-chirurgicales de greffe qui doivent assumer le suivi d’une cohorte chaque année grandissante de malades sous traitement immunosuppresseur. Le nombre de porteurs d'un greffon fonctionnel estimé varie d'une équipe à l'autre de moins de 500 à plus de 2 000 malades, hors équipes pédiatriques et outremer.


Le nombre estimé de porteurs de greffon fonctionnel en France est de 43 532 au 31 décembre 2024.

Survie greffon

Figure R2. Survie du greffon rénal selon la période de greffe

Télécharger le fichier

Figure R3. Survie globale du greffon rénal (2007-2023)

Télécharger le fichier

Figure R4a. Survie du greffon rénal selon l'âge du donneur (2007-2023)

Télécharger le fichier

Figure R4b. Survie du greffon rénal avec censure des décès selon l'âge du donneur (2007-2023)

Télécharger le fichier

Figure R5. Survie du greffon rénal selon l'origine du greffon (2007-2023)

Télécharger le fichier

Figure R6. Survie du greffon rénal selon l'origine du greffon (2007-2023)

Télécharger le fichier

Figure R7. Survie du greffon rénal selon le rang de la greffe (2007-2023)

Télécharger le fichier

Figure R8a. Survie du greffon rénal selon l'âge du receveur (greffes 2007-2023)

Télécharger le fichier

Figure R8b. Survie du greffon rénal avec censure des décès selon l'âge du receveur (greffes 2007-2023)

Télécharger le fichier

Figure R9. Survie du greffon rénal selon l'immunisation du receveur (03/02/2009-2023)

Télécharger le fichier

Figure R10. Survie du greffon rénal issu de donneur décédé, en fonction du nombre d’incompatibilités HLA A, B et DR avec exclusion des retransplantations (2008-2023)

Télécharger le fichier

Figure R11. Survie du greffon rénal issu de donneur décédé, en fonction du nombre d’incompatibilités HLA DR et DQ avec exclusion des retransplantations (2008-2023)

Télécharger le fichier

Figure R12. Survie du greffon rénal selon la présence d'anticorps anti-HLA dirigés contre le HLA du donneur (hors donneur vivant, donneur décédé après arrêt circulatoire, 2009-2023)

Télécharger le fichier

Figure R13. Survie du greffon rénal issu de donneur vivant selon la présence d'anticorps anti-HLA dirigés contre le HLA du donneur (2010-2023)

Télécharger le fichier

Figure R14. Survie du greffon rénal issu de donneur vivant selon le lien entre le donneur et le receveur (2007-2023)

Télécharger le fichier

Figure R15. Survie du greffon rénal à partir de donneur vivant selon la compatibilité ABO (2009-2023)

Télécharger le fichier

Survie receveur

Figure R16. Survie du receveur après greffe rénale selon la période

Télécharger le fichier

Figure R17. Survie du receveur après greffe rénale selon l'âge à la greffe (2007-2023)

Télécharger le fichier

Figure R18. Survie du receveur après greffe rénale selon l'origine du greffon (2007-2023)

Télécharger le fichier

Evaluation des résultats des greffes rénales


La méthode de l’évaluation est détaillée dans le chapitre Organes.


https://rams.agence-biomedecine.fr/greffe-dorganes-donnees-generales-et-methodes


Le taux d’échec ajusté d’une équipe est considéré comme significativement différent de la moyenne nationale s’il se trouve en dehors de l’intervalle de confiance à 99%. Les équipes peuvent être identifiées par les informations présentées dans le tableau ci-dessous.


Les équipes non représentées sur les graphes sont celles qui ont réalisé 10 greffes ou moins sur la période ou présentent plus de 10% de perdus de vue. Les équipes strictement pédiatriques ont leur résultat dans le chapitre pédiatrique.

Greffes rénales à partir de donneurs décédés en mort encéphalique


Les facteurs de risque utilisés en rein pour l’analyse du taux d’échec à 1 an ajusté sur la gravité des receveurs et des donneurs sont :


  • Pour le receveur : l’âge au moment de la greffe, l’indice de masse corporelle, la durée de la dialyse à la greffe, la néphropathie d'origine, le nombre de greffes antérieures, les comorbidités cardiovasculaires et le diabète,

  • Pour le donneur : l’âge, la cause de décès, l’hypertension artérielle, un diabète, une maladie coronarienne, une maladie rénale, le débit de filtration estimé (formule Schwartz ou CK-EPI),

  • Pour les conditions de la greffe : nombre d'incompatibilités HLA DR, compatibilité des sérologies CMV, la compatibilité des indices de masse corporelle et le type de greffon (droit ou gauche ou bigreffe).


Les facteurs de risque utilisés en rein pour l’analyse du taux d’échec à 5 ans ajusté sur la gravité des receveurs et des donneurs sont :


  • Pour le receveur : l’âge au moment de la greffe, l’indice de masse corporelle, durée de la dialyse à la greffe, néphropathie d'origine, nombre de greffes antérieures, comorbidités cardiovasculaires, le diabète, le taux de greffons incompatibles, la sérologie VHC,

  • Pour le donneur : l’âge, le genre, la cause de décès, une hypertension artérielle, un diabète,


  • Pour les conditions de la greffe : nombre d'incompatibilités HLA DR, la compatibilité entre le genre du receveur et du donneur, la durée de l’ischémie froide.


Les greffes suivantes sont exclues des analyses : greffes à partir de donneur vivant et de donneur décédé après arrêt circulatoire, greffes à partir de donneur étranger, greffes combinées, greffes effectuées par des équipes présentant 20% ou plus de perdus de vue.


Cette année, aucune équipe a un taux d’échec de greffe à 1 an significativement supérieur à la moyenne nationale et 2 équipes ont un taux d’échec de greffe à 1 an significativement inférieur à la moyenne nationale (Figure R19).


Cette année, 1 équipe a un taux d’échec de greffe à 5 ans significativement supérieur à la moyenne nationale et aucune équipe a un taux d’échec de greffe à 5 ans significativement inférieur à la moyenne nationale (Figure R20).

Greffes rénales à partir de donneurs vivants


Les facteurs de risque utilisés en rein pour l’analyse du taux d’échec à 5 ans ajusté sur la gravité des receveurs et des donneurs sont :


  • Pour le receveur : l’âge au moment de la greffe, durée de la dialyse à la greffe, néphropathie d'origine, greffes rénale antérieure, comorbidités cardiovasculaires, la sérologie EBV, le groupe sanguin ;

  • Pour le donneur : le débit de filtration estimé (formule Schwartz ou CK-EPI), la sérologie CMV ;


  • Pour les conditions de la greffe : le ratio poids donneur/receveur.


Les greffes suivantes sont exclues des analyses : greffes à partir de donneur décédé, greffes à partir de donneur étranger, greffes combinées, greffes effectuées par des équipes présentant 25% ou plus de perdus de vue.


Cette année, aucune équipe n’a un taux d’échec de greffe à 5 ans significativement supérieur à la moyenne nationale et 1 équipe a un taux d’échec de greffe à 5 ans significativement inférieur à la moyenne nationale (Figure R21).


Figure R19. Test statistique d’écart à la moyenne nationale du taux d’échec à 1 an ajusté pour les équipes de greffe rénale (avec des autorisations de greffe adulte) : méthode du « funnel plot »

Télécharger le fichier

Figure R20. Test statistique d’écart à la moyenne nationale du taux d’échec à 5 ans ajusté pour les équipes de greffe rénale (avec des autorisations de greffe adulte) : méthode du « funnel plot »

Télécharger le fichier

Figure R21. Test statistique d’écart à la moyenne nationale du taux d’échec à 5 ans ajusté des greffes à partir de donneur vivant pour les équipes de greffe rénale (avec des autorisations de greffe adulte) : méthode du « funnel plot »

Télécharger le fichier

Activité régionale

Tableau R53. Activité d'inscription et de greffe en 2024 selon la région de domicile des candidats

Télécharger le fichier