Données : 2024

PDF

Le prélèvement d’organes en vue de greffe

Tendances de l’année

Les grandes tendances de l’année sont les suivantes :


  • Pour l’ensemble des donneurs décédés (donneurs décédés en état de mort encéphalique – EME - et ceux décédés après arrêt circulatoire) : en 2024, le taux global de prélèvement au niveau national est de 27,4 par million d’habitants (pmh). Ce taux est en hausse comparé aux années 2020-2023, mais reste inférieur à celui de 2019 (28,5 pmh) et correspond au taux observé en 2015. La baisse du nombre de donneurs en EME prélevés a débuté en 2018 (-3% en 1 an) et s’est accélérée avec la pandémie Covid-19 ; néanmoins le nombre de donneurs en EME progresse à nouveau depuis 2021 (+10,9% en 3 ans). En 2024, le déficit de donneurs EME prélevés est de 252 par rapport à 2017 et de 185 si l’on se réfère à 2019, avant la pandémie Covid-19. La progression globale observée en 2024 concerne les prélèvements de donneurs en état de mort encéphalique (gain de 32 donneurs, +2,1% en 1 an) et les prélèvements de type Maastricht 3 (gain de 34 donneurs, +12,5% en 1 an).

  • Pour les donneurs en EME :

    • Un ralentissement de la progression du taux de recensement observée au décours de la crise Covid, qui n’est que de 1,2% en 2024 contre une hausse de 4,9% en 2023. Ce ralentissement est dû à la baisse isolée de 11,5% du recensement des donneurs en EME âgés de 65 à 74 ans.

    • La hausse du taux d’opposition qui atteint 36,4% en 2024, taux record jamais observé, alors qu’il était descendu entre 30 et 30,5% entre 2017 et 2019. Ce taux baisse avec l’âge des donneurs, allant de 51,2% pour les moins de 18 ans à 24,8% pour les donneurs âgés de 75 ans et plus, influencé par la part d’approche anticipée dans l’activité de recensement pour les receveurs les plus âgés. En 2024, ce taux a à nouveau progressé pour les moins de 50 ans mais est revenu sous le seuil des 25% pour les donneurs de 75 ans et plus. Ainsi, parmi les 1154 donneurs EME non prélevés pour opposition en 2024, 62% avaient entre 18 et 64 ans. Ce taux varie au cours de l’année, de 30,9% en août à 40,9% en décembre et selon les régions métropolitaines : de 21,3% en Bretagne à 53,5% en Ile-de-France.

    • L’amélioration du taux de conversion national (ratio entre le nombre de prélèvements et le nombre de recensements) pour les donneurs en EME, revenu à 48,7% en 2024, après 2 années de baisse consécutive (49,5% en 2021 ; 48,9% en 2022 ; 48,3% en 2023), alors que le taux d’opposition au don d’organe, en hausse, explique 71% des arrêts de procédure. Cette amélioration est due à une baisse depuis 2022 des motifs de non prélèvement « Antécédent du donneur », « Obstacle médical » et « Laparotomie blanche », avec une diminution plus marquée pour le motif « Antécédent du donneur », (- 52 donneurs non prélevés en 2024 vs 2022 et au total une baisse de 33,4% en 5 ans).. Au final, le taux de conversion des donneurs âgés de 75 ans et plus a rejoint celui des donneurs âgés de 50 à 64 ans (50%), contre 48% pour les donneurs âgés de 18 à 49 ans et de 65 à 74 ans. Parmi les causes de non prélèvement pour « Antécédent médical du donneur », une pathologie maligne est l’antécédent le plus fréquent (59,6%), alors que le motif « infections virales » a fortement baissé en 2023 (-60% en 1 an) et se stabilise autour de 13% en 2024, depuis les mises à jour des recommandations du Haut Conseil de la Santé Publique (HCSP) parues le 30 décembre 2022 et le 18 juillet 2024 concernant les modalités de prélèvement et de greffe d’organes en cas de donneurs positifs pour le test PCR Covid. Depuis juillet 2024, le dépistage SARS-Cov-2 n’est plus obligatoire en l’absence de signes cliniques et un résultat positif n’a plus d’impact sur la qualification des greffons, à l’exception des poumons et de l’intestin dont la qualification est conditionnée par les résultats d’un test PCR sur prélèvement profond des voies respiratoires inférieures.

    • L’absence d’évolution de la distribution des causes de décès des donneurs EME recensés, les décès d’origine vasculaire (AVC hémorragique et ischémique) représentant la majorité des causes de décès (56,6% en 2024). Néanmoins, la baisse du nombre de décès d’origine vasculaire représente 86% du déficit de donneurs prélevés entre 2019 et 2024, dont 30% concerne les donneurs âgés de 75 ans et plus et 45% ceux de 65 ans et plus, en lien avec la saturation des lits de soins critiques et des difficultés probables de prises en charge de la filière des patients neurolésés en coma grave et non en lien avec une modification des critères de sélection des greffons. Les deux autres causes de décès prépondérantes parmi les donneurs EME (traumatisme crânien et anoxie) prélevés sont de fréquence stable depuis 2 ans et concernent principalement les donneurs entre 18 et 64 ans, soit près de 24 % de décès après traumatisme crânien (68% ont moins de 65 ans) et 18-19% en cas d’anoxie (52% ont moins de 50 ans).

    • Une progression des donneurs adultes prélevés dans toutes les catégories d’âge (+ 5,1% à +9,1%), sauf pour les donneurs âgés de 65 à 74 ans en baisse de 11,4% en 1 an. La moyenne d’âge des donneurs EME prélevés est de 58,4 ans en 2024, oscillant entre 57,3 et 58,6 ans depuis 2018 et la part des donneurs de 65 ans et plus est égale à 41,1% en 2024 (contre 42,7% en 2023).

    • Le taux d’efficience pour un organe considéré (taux de donneurs dont l’organe considéré est greffé parmi les donneurs prélevés d’au moins un organe) est variable selon le type de greffons :

      • 89,9% pour le rein ;

      • 76,2% pour le foie contre 70,7% en 2019, en forte hausse en 2024, ayant participé à la hausse historique de l’activité de greffe hépatique en 2024 (+ 46 greffons hépatiques greffés entre 2019 et 2024) ;

      • 27,1% pour le cœur, soit 23 greffons cardiaques supplémentaires prélevés en France ayant abouti à une greffe en France ou à l’étranger ;

      • 17,6% pour les poumons en 2024 contre 20,6% en 2022 et 20,5% en 2019, dans un contexte de baisse importante du nombre de receveurs éligibles en isogroupe un jour donné.

  • Pour les sujets décédés après arrêt circulatoire suite à un arrêt cardiaque inopiné (DDAC-MI-II), le programme a été particulièrement impacté par la crise sanitaire et ne reprend que très modestement avec 8 donneurs recensés et 5 prélevés en 2024 sur un seul site, ayant permis 10 greffes rénales, alors qu’aucun donneur n’avait été prélevé en 2022.

  • Pour les sujets décédés après arrêt circulatoire suite à une limitation ou un arrêt des thérapeutiques (Catégorie III de Maastricht ou DDAC M3), les activités de recensement et de prélèvement ont continué leur progression en 2024 (+12,5% donneurs prélevés), de manière moins marquée qu’en 2023, pour atteindre 307 prélèvements (4,5 donneurs DDAC M3 prélevés pmh), permettant la réalisation de 530 greffes rénales (+15% en 1 an), 224 greffes hépatiques (+22,4% en 1 an), 50 greffes pulmonaires (x 2 en 1 an), 6 nouvelles greffes pancréas combinées à une greffe de rein et 5 isolements d’ilots de Langerhans suivis d’une injection. Cette hausse de l’activité est due à une hausse d’activité de centres très actifs, à la progression du nombre d’établissements hospitaliers autorisés (+ 6 centres soit 58 en 2024) et a eu lieu malgré un taux d’opposition élevé (42,5%). Le second motif d’arrêt de procédure est désormais l’obstacle logistique (6,1% des donneurs recensés en 2024), en hausse significative (de 28 échecs en 2020 ou 2023 à 48 en 2024), ce qui correspond à une indisponibilité du bloc et/ou des équipes chirurgicales en charge du prélèvement ou celle en charge de la CRN au moment de l’arrêt des thérapeutiques actives. Le nombre et le taux d’incidents de CRN, incluant le dépassement de la phase d’ischémie chaude fonctionnelle, à l’origine d’un arrêt de procédure est de 31 incidents en 2024 (4% des donneurs recensés contre 6,3% en 2021, après un important travail de révision des recommandations sur les aspects techniques de la pose et de la maintenance durant la phase de perfusion in situ réalisé par le groupe de travail DDAC M3 et ayant donné lieu à une nouvelle version du protocole national en 2023. Les délais spécifiques de la procédure DDAC M3 sont globalement stables dans le temps, avec un délai moyen entre l’admission et la décision de LAT de 12 jours, une durée moyenne de la phase d’arrêt circulatoire de 20-21 minutes pour les organes abdominaux et de 72-73 minutes pour les poumons. Les donneurs prélevés ont un âge moyen de 53,5 ans en 2024 (67% âgés de 50 ans et plus) et en majorité présentent une encéphalopathie post anoxique (56%-59%).


L’année 2022 avait été marquée par la mise en place du programme de prélèvement sur donneurs décédés en état de mort encéphalique porteurs de marqueurs du virus de l’immunodéficience humaine en conformité avec l’Arrêté du 5 juillet 2021. En 2024, 11 recensements ont abouti au prélèvement de 3 donneurs (charge virale < 50 copies depuis plus d’un an) et la réalisation avec succès de 5 greffes rénales chez des receveurs, eux-mêmes séropositifs pour le VIH, portant à 12 le nombre de greffes rénales réalisées dans ce cadre depuis 3 ans, avec d’excellents résultats post greffe.


Les pays européens ont globalement tous été affectés par la pandémie Covid avec une baisse significative du recensement et du prélèvement d’organes sur donneurs décédés en 2020, une reprise modeste dès 2021, à l’exception de l’Allemagne dont le taux de prélèvement de donneurs décédés suivi de greffes stagne à 11 donneurs décédés pmh. En 2024, plusieurs pays européens comme l’Espagne, l’Italie, la Belgique ou le Portugal ont une activité de prélèvement de donneurs décédés (suivis ou non de greffe) qui atteint ou dépasse 30 pmh.

Évolution du recensement et du prélèvement par type de donneur décédé en France

Figure P1. Evolution du prélèvement par type de donneur en France

Télécharger le fichier

Tableau P1. Description des donneurs décédés en France en 2024

Télécharger le fichier

Prélèvement sur donneur décédé en état de mort encéphalique

Donneurs recensés

Figure P2. Evolution de l'activité de recensement et de prélèvement des sujets en état de mort encéphalique

Télécharger le fichier

Tableau P2. Evolution de l'activité de recensement et de prélèvement de sujets en état de mort encéphalique en France

Télécharger le fichier

Tableau P3. Evolution du devenir des sujets en état de mort encéphalique recensés

Télécharger le fichier

Tableau P4. Devenir des organes proposés chez les donneurs en état de mort encéphalique

Télécharger le fichier

Tableau P5. Evolution des causes de décès des sujets en état de mort encéphalique recensés selon l'âge

Télécharger le fichier

Tableau P6. Evolution du nombre de donneurs en état de mort encéphalique avec des marqueurs sérologiques positifs et du nombre d’organes greffés à partir de ces donneurs

Télécharger le fichier

Donneurs non prélevés

Tableau P7. Evolution des causes de non prélèvement pour l'item Antécédent du donneur

Télécharger le fichier

Tableau P8. Evolution du type d'opposition chez les donneurs non prélevés pour cause d'opposition

Télécharger le fichier

Tableau P9. Evolution des causes de non-prélèvement pour obstacle médico-légal ou administratif

Télécharger le fichier

Donneurs prélevés d'au moins un organe

Tableau P10. Evolution du devenir des donneurs en état de mort encéphalique dont au moins un organe a été prélevé

Télécharger le fichier

Tableau P11. Evolution de l'âge des donneurs en état de mort encéphalique dont au moins un organe a été prélevé

Télécharger le fichier

Tableau P12. Evolution des caractéristiques des donneurs en état de mort encéphalique prélevés d'au moins un organe

Télécharger le fichier

Tableau P13a. Evolution du nombre de donneurs en état de mort encéphalique prélevés d'au moins un organe présentant des facteurs de risques d'échec de la greffe rénale

Télécharger le fichier

Tableau P13b. Evolution du nombre de donneurs en état de mort encéphalique prélevés du coeur présentant des facteurs de risques d'échec de la greffe cardiaque

Télécharger le fichier

Tableau P13c. Evolution du nombre de donneurs en état de mort encéphalique prélevés d'au moins un poumon présentant des facteurs de risques d'échec de la greffe pulmonaire

Télécharger le fichier

Tableau P13d. Evolution du nombre de donneurs en état de mort encéphalique prélevés d'un foie présentant des facteurs de risques d'échec de la greffe hépatique

Télécharger le fichier

Tableau P13e. Evolution du nombre de donneurs en état de mort encéphalique prélevés d'un pancréas présentant des facteurs de risques d'échec de la greffe pancréatique organe

Télécharger le fichier

Tableau P14. Evolution des causes de non prélèvement des greffons hépatiques chez les donneurs prélevés d'au moins un organe

Télécharger le fichier

Tableau P15. Evolution des causes de non prélèvement des greffons cardiaques chez les donneurs prélevés d'au moins un organe

Télécharger le fichier

Tableau P16. Evolution des causes de non prélèvement des 2 greffons rénaux chez les donneurs prélevés d'au moins un organe

Télécharger le fichier

Tableau P17. Evolution des causes de non prélèvement des 2 greffons pulmonaires chez les donneurs prélevés d'au moins un organe

Télécharger le fichier

Greffons prélevés non greffés

Tableau P18. Evolution de la part des greffons prélevés et non greffés parmi les greffons prélevés issus de donneurs en état de mort encéphalique

Télécharger le fichier

Tableau P19a. Evolution des causes de non greffe des greffons hépatiques prélevés

Télécharger le fichier

Tableau P19b. Evolution des causes de non greffe des greffons cardiaques prélevés

Télécharger le fichier

Tableau P19c. Evolution des causes de non greffe des greffons rénaux prélevés

Télécharger le fichier

Tableau P19e. Evolution des causes de non greffe des greffons pulmonaires prélevés

Télécharger le fichier

Tableau P19f. Evolution des causes de non greffe des greffons intestinaux prélevés

Télécharger le fichier

Tableau P19g. Evolution des causes de non greffe des greffons pancréatiques prélevés

Télécharger le fichier

Donneurs dont au moins un organe a été greffé

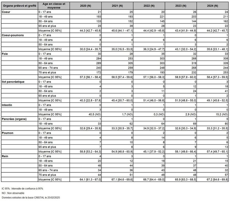
Tableau P 20. Evolution de l'âge des donneurs décédés de mort encéphalique selon l'organe prélevé et greffé

Télécharger le fichier

Tableau P21. Echange de greffons avec l'étranger selon l'année

Télécharger le fichier

Recensement et prélèvement régional

Tableau P22a. Evolution du nombre de donneurs en état de mort encéphalique prélevés par région et par site de prélèvement

Télécharger le fichier

Tableau P22b. Activité de prélèvement des donneurs en état de mort encéphalique et greffe d'organes - Synthèse régionale 2024

Télécharger le fichier

Prélèvement sur donneur décédé après arrêt circulatoire suite à un arrêt cardiaque inopiné (Catégorie I et II de Maastricht)

Tableau P23. Evolution de l'activité de prélèvement et de greffe pour les donneurs décédés après arrêt circulatoire suite à un arrêt cardiaque inopiné (catégories 1 et 2 de Maastricht) en France

Télécharger le fichier

Tableau P24. Délais entre l'effondrement initial et la déclaration de décès chez les donneurs décédés après arrêt circulatoire suite à un arrêt cardiaque inopiné (catégories 1 et 2 de Maastricht) prélevés (no flow nuls exclus)

Télécharger le fichier

Prélèvement sur donneur décédé après arrêt circulatoire suite à une limitation ou un arrêt des thérapeutiques (Catégorie III de Maastricht)

Donneurs recensés

Tableau P25. Evolution de l'activité de recensement et de prélèvement des donneurs décédés après arrêt circulatoire suite à limitation ou arrêt des thérapeutiques (catégorie 3 de Maastricht) en France

Télécharger le fichier

Tableau P26. Devenir des donneurs décédés après arrêt circulatoire suite à limitation ou arrêt des thérapeutiques (catégorie 3 de Maastricht) recensés

Télécharger le fichier

Tableau P27. Devenir des organes proposés chez les donneurs décédés après arrêt circulatoire suite à limitation ou arrêt des thérapeutiques (catégorie 3 de Maastricht)

Télécharger le fichier

Donneurs prélevés d’au moins un organe

Tableau P28. Evolution du devenir des donneurs décédés après arrêt circulatoire suite à limitation ou arrêt des thérapeutiques (catégorie 3 de Maastricht) dont au moins un organe a été prélevé

Télécharger le fichier

Tableau P29. Evolution de l'âge des donneurs décédés après arrêt circulatoire suite à limitation ou arrêt des thérapeutiques (catégorie 3 de Maastricht) dont au moins un organe a été prélevé

Télécharger le fichier

Tableau P30. Evolution des caractéristiques des donneurs décédés après arrêt circulatoire suite à limitation ou arrêt des thérapeutiques (catégorie 3 de Maastricht) prélevés d'au moins un organe

Télécharger le fichier

Tableau P31. Délais de la procédure pour le prélèvement des donneurs décédés après arrêt circulatoire suite à limitation ou arrêt des thérapeutiques (catégorie 3 de Maastricht) prélevés d'au moins un organe (période 2015-2024)

Télécharger le fichier

Tableau P32. Evolution du nombre de donneurs décédés après arrêt circulatoire suite à limitation ou arrêt des thérapeutiques (catégorie 3 de Maastricht) prélevés d'au moins un organe présentant des facteurs de risques d'échec de la greffe

Télécharger le fichier

Tableau P33a. Evolution des causes de non prélèvement des greffons hépatiques chez les donneurs décédés après arrêt circulatoire suite à limitation ou arrêt des thérapeutiques (catégorie 3 de Maastricht) prélevés d'au moins un organe

Télécharger le fichier

Tableau P33b. Evolution des causes de non prélèvement des 2 greffons rénaux chez les donneurs décédés après arrêt circulatoire suite à limitation ou arrêt des thérapeutiques (catégorie 3 de Maastricht) prélevés d'au moins un organe

Télécharger le fichier

Tableau P33c. Evolution des causes de non prélèvement des 2 greffons pulmonaires chez les donneurs décédés après arrêt circulatoire suite à limitation ou arrêt des thérapeutiques (catégorie 3 de Maastricht) prélevés d'au moins un organe

Télécharger le fichier

Greffons prélevés non greffés

Tableau P34a. Evolution des causes de non greffe des greffons hépatiques prélevés chez les donneurs décédés après arrêt circulatoire suite à limitation ou arrêt des thérapeutiques (catégorie 3 de Maastricht)

Télécharger le fichier

Tableau P34b. Evolution des causes de non greffe des greffons rénaux prélevés chez les donneurs décédés après arrêt circulatoire suite à limitation ou arrêt des thérapeutiques (catégorie 3 de Maastricht)

Télécharger le fichier

Tableau P34c. Evolution des causes de non greffe des greffons pulmonaires prélevés chez les donneurs décédés après arrêt circulatoire suite à limitation ou arrêt des thérapeutiques (catégorie 3 de Maastricht)

Télécharger le fichier

Tableau P34d. Evolution des causes de non greffe des greffons pancréatiques prélevés des donneurs décédés après arrêt circulatoire suite à limitation ou arrêt des thérapeutiques (catégorie 3 de Maastricht)

Télécharger le fichier

Recensement et prélèvement régional

Tableau P35a. Evolution du nombre de donneurs décédés après arrêt circulatoire suite à limitation ou arrêt des thérapeutiques (catégorie 3 de Maastricht) prélevés par centre autorisé

Télécharger le fichier

Tableau P35b. Activité de prélèvement des donneurs décédés après arrêt circulatoire suite à limitation ou arrêt des thérapeutiques (catégorie 3 de Maastricht) - Synthèse régionale 2024

Télécharger le fichier